Walt Disney dijo: Lo que hagas, hazlo tan bien que ellos quieran verlo otra vez y traer a sus amigos. ¿Quieres crear amor entre tu empresa y los clientes y mejorar el word of mouth? ¿O solamente te interesa vender?
Según Nielsen Normal Group, la mayoría de los visitantes de tu sitio web van a leer aproximadamente solo el 20% de tu contenido.
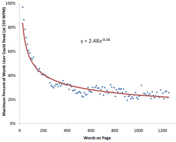
Un estudio muestra que el 55% de los usuarios que ven una página pasan menos de 15 segundos viéndola. Es más que obvio que nadie puede leer un artículo de 1000 palabras en 15 segundos.
Por eso necesitas contenido visual que los mantenga interesados en lo que tienes que decir.

Simply Measured en su reporte sobre el estado de social marketing encontró que los marketers usan estas métricas para medir el éxito en las redes sociales.

Y se enfrentan con estos retos:


La realidad es que algunos negocios solo piensen en ellos mismos, en vender y no les importa construir relaciones ni ayudar a sus clientes potenciales y por eso no ven resultados. ¿Quieres vender? Necesitas hacer engagement marketing primero… y para eso debes entregar mucho, ayudar mucho. Las ventas vienen por añadidura.
¿Cómo los negocios pueden ayudar a los clientes potenciales?
1. Conocer a los clientes potenciales.
Para poder ayudar a alguien hay que conocer sus problemas, necesidades, retos.
2. Publicar contenido relevante en tu blog.
Publicar contenido útil que ayude a los clientes potenciales es la manera perfecta para que te conozcan y que sepan qué pueden esperar de tu negocio. No estoy hablando de contenido auto-promocional sino de contenido útil y educativo que te va a ayudar a construir relaciones, contenido que responda sus preguntas y solucione sus problemas.
Cuando se trata de ayudar a los lectores y clientes potenciales el contenido tiene varios objetivos:
- Informar
- Entretener
- Inspirar
- Educar
Eso significa tener varios tipos de contenido en tu sitio o blog: por ejemplo, contenido que entretiene e inspira (gifs, memes, videos, historias, casos de éxito), noticias que informan (noticias acerca de tu industria) y how to contenido y tutoriales paso a paso para educar en forma de texto o video. El contenido que educa está enfocado a aumentar el interés y construir confianza entre tu empresa y los clientes potenciales. De esta manera tienes varios tipos de contenido de calidad para ofrecer a tus clientes potenciales y responder sus preguntas. Para hacer todo esto tienes que conocer sus intereses, problemas y necesidades.

3. Escoger la plataforma adecuada para tus clientes potenciales.
Tus clientes potenciales no están en todas las redes sociales. Una de las mejores maneras de ayudarlos es estar donde ellos estén, no tiene sentido tener presencia en una plataforma donde no están. Es mejor estar en 2 plataformas que sí van a traernos resultados en vez de estar en todos lados y no tener tiempo para gestionarlas ni hacerlo bien.
4. Ofrecer contenido gratuito.
Ofrecer contenido gratis o a cambio de su correo electrónico (guía, e-book, plantillas, serie de videos, etc.) te va a ayudar a ganar credibilidad, confianza y que te consideren experto en tu industria. Esto es lo que llamamos un lead magnet.
5. Ayudarlos a que se ayuden a sí mismos.
Irónicamente entre más enseñes a un cliente a no depender de ti, más te buscará, porque entonces sabe que te acercas a él queriendo ayudarlo y no solo queriendo bajarle dinero. Enséñalo a pescar, no le des pescado. Da de verdad de tus recursos.

6. Agregar páginas con las preguntas más frecuentes.
Las páginas con las preguntas más frecuentes facilitan encontrar lo que uno está buscando sin tener que buscar respuestas en Google o sin tener que contactar el servicio de alguien para que nos despejen nuestras dudas. El contenido en las páginas con las preguntas más frecuentes no tiene que ser solamente sobre tus productos o servicios, puedes educar a los clientes potenciales en un tema específico, incluye videos, respuestas, artículos largos que respondan sus preguntas, instrucciones paso a paso. Cuando alguien te haga una pregunta que no esté incluida en la sección de preguntas más frecuentes, escríbela respóndela y publícala.
Si tienes un público internacional traduce tus páginas con las preguntas más comunes en los idiomas que usan.
Ejemplos: Checa las páginas con las preguntas más comunes de 99designs, Pinterest y Mint.



7. Resolver un problema real.
L’Oréal con su app MakeUp Genius permite comprobar cómo queda el maquillaje sin necesidad de tenerlo de forma física.

8. Construir relaciones.
Tener presencia en las redes sociales se trata de construir relaciones. No se trata para tratar de venderles algo diario. Se trata de conocer a tu audiencia e invertir tiempo en conocerlos mejor, entender sus necesidades, problemas, intereses y deseos, se trata de hacer preguntas para averiguar más, de tus clientes potenciales, actuales, pasados, recurrentes, fieles, a clientes satisfechos e insatisfechos, pregunta en persona, por correo electrónico, o con el uso de encuestas y polls en las redes sociales.
9. Encontrar maneras de facilitarles la vida.
10. Hacer los reír.
Usa gifs o memes para hacer reír a los seguidores y clientes potenciales.

11. Respetar a tus clientes potenciales
12. Cumplir las promesas
Tu palabra significa mucho no solo en persona, en las redes sociales también. Ayuda a construir confianza con los clientes potenciales y demuestra que pueden contar contigo, de esa manera saben lo que pueden esperar de tu negocio si deciden comprar en el futuro.
13. Entregar más de lo que prometes.
No importa si se trata de entregar a domicilio, reducir el tiempo de espera, ajustar el precio, ofrecer productos añadidos que el cliente valore.
14. Siempre escuchar lo que dicen y lo que no dicen
Es muy importante escuchar y aprovechar el feedback. También es importante leer entre líneas.
Usa varias métodos para conseguir feedback de tus clientes potenciales: encuestas, polls, servicio al cliente, observar, responder a comentarios y menciones en las redes, interactuar en las comunidades, grupos en Facebook y LinkedIn, responder a correos electrónicos.

15. Responder rápido.
El tiempo que les toma a los negocios en responder a comentarios y menciones es importante igual que la calidad del servicio al cliente, o admitir que no tienes la respuesta pero la vas a encontrar y la vas a compartir con ellos.
16. Ser transparente
La transparencia signnfica que el negocio no tiene nada que esconder, que le gusta conversar con los clientes potenciales, etc.
17. Ayudar a que aprendan cosas nuevas
Digamos que vendes comida sana. ¿Qué tal si compartes contenido que eduque sobre tus productos o entrevistas de expertos en nutrición?
18. Pedirles su opinión cuando no compren.
Es importante saber si han encontrado un producto que satisfaga mejor sus necesidades; decidieron que tu producto no les sirve y por qué tomaron esa decisión o si simplemente pospusieron la decisión de compra. Las respuestas de estas preguntas te van a ayudar a implementar cambios en tus productos y lograr aumentar las ventas.
19. Olvidar de las ventas directas.
Si quieres aumentar las ventas, olvídate de las ventas directas, no vender en mensajes directos cuando apenas te siguieron o peor aún vender con cada publicación en las redes sociales. Mejor enfócate en ayudar a solucionar problemas, ofrecer soluciones, construir relaciones, facilitar su vida, conseguir que confíen en tu negocio en vez de perseguir las ventas. Las redes sociales no están hechas para vender, sino para interactuar. Mira cómo tienen el porcentaje más bajo de conversión:

Tú turno ¿de qué manera ayudas a tus clientes potenciales? Te leemos en los comentarios.




Deja un comentario